— По крайней мере внутренне непротиворечивые, — уточнил Руди.
— О'кей. Значит, математика — больше, чем физика пробок.
— Так нам представляется, Лоуренс, но возникает вопрос: математика по правде или это только игра в символы? Другими словами: мы открываем Истину или просто балуемся?
— Она должна быть по правде, потому что, когда прикладываешь ее к физике, она работает! Я слышал про общую теорию относительности и знаю, что она подтверждена экспериментами.
— Большая часть математики не поддается экспериментальной проверке, — сказал Руди.
— Вся идея в том, чтобы укрепить связь с физикой, — произнес Алан.
— И при этом не баловаться.
— И для этого написаны «ОМ»?
— Рассел и Уайтхед свели все математические понятия к таким жутко простым вещам, как множества. Отсюда они перешли к целым числам и так далее.
— Но как можно свести к множествам, например, число «?»?
— Нельзя, — сказал Алан, — зато его можно выразить цепочкой цифр: три запятая один четыре один пять девять и так далее.
— То есть через целые числа, — сказал Руди.
— Нечестно! Само «?» — не целое!
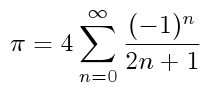
— Но можно вычислить цифры «?», одну за другой, по некой формуле. И можно написать формулу вроде такой!
Алан нацарапал на земле:

— Я использовал ряд Лейбница, чтобы утешить нашего друга. Видишь, Лоуренс? Это цепочка символов.
— Цепочку символов вижу, — нехотя согласился Лоуренс.
— Можно идти дальше? Гёдель, всего несколько лет назад, сказал: «Послушайте! Вы согласны, что все в математике просто цепочка символов? Тогда вот!» И показал, что любую цепочку символов — вроде этой — можно превратить в целые числа.
— Как?
— Ничего сложного, Лоуренс, простой шифр. Произвольный. Вместо уродливой сигмы напиши число 538 и так далее.
— Очень близко к баловству.
— Нет, нет! Потому что Гёдель расставил ловушку. В формулу можно подставлять числа, да?
— Конечно. Как 2х.
— Да. Можно подставить на место x любое число, и формула его удвоит. Но если математическую формулу вроде этой для вычисления числа «?» можно закодировать числом, то ее можно подставить в другую формулу. Формулу в формулу!
— И это все?
— Нет. Потом он доказал, очень простым способом, что если формулы можно применить к формулам, то мы вправе сказать: «данное утверждение недоказуемо». Что страшно удивило Гильберта и других, ожидавших противоположного результата.
— Этого твоего Гильберта ты уже упоминал?
— Нет, Лоуренс, он появился в нашем разговоре только сейчас.
— Кто он?
— Человек, который задает трудные вопросы. У него их целый список. Гёдель ответил на один.
— А фон Тьюринг — на другой, — добавил Руди.
— Это еще кто?
— Это я, — сказал Алан. — Только Руди шутит. В Тьюринге вообще-то нет приставки «фон».
— Сегодня ночью будет. — Руди как-то странно взглянул на Алана. Будь Лоуренс повзрослее, он бы определил этот взгляд как «страстный».
— Ладно, не томи. На какой вопрос Гильберта ты ответил?
— Entscheidungsproblem[6], — сказал Руди.
— То есть?
Алан объяснил:
— Гильберт хотел знать, можно ли в принципе доказать истинность или ложность любого высказывания.
— Но Гёдель все изменил, — произнес Руди.
— Верно. После Гёделя вопрос стал звучать так: «Можно ли определить, доказуемо или нет некое — любое — конкретное высказывание?» Другими словами, есть ли механический процесс, посредством которого мы в состоянии отсеять доказуемые утверждения от недоказуемых?
— «Механический процесс», Алан, это вообще-то метафора…
— Ладно тебе, Руди. Мы с Лоуренсом не боимся механики.
— Усек, — сказал Лоуренс.
— Что значит «усек»? — спросил Алан.
— Твоя машина — не для дзета-функций, а другая, о которой мы говорили…
— Она называется Универсальная Машина Тьюринга, — сказал Руди.
— Вся эта хреновина нужна, чтобы отделять недоказуемые утверждения от доказуемых, верно?
— Вот для чего я придумал ее основную идею, — сказал Алан. — Так что на вопрос Гильберта ответ уже есть. Теперь я хочу на самом деле ее построить, чтобы обыграть Руди в шахматы.
— Ты еще не сообщил бедному Лоуренсу ответ, — напомнил Руди.
— Лоуренс сообразит, — сказал Алан. — Ему будет чем себя развлечь.
Скоро стало ясно, что Алан на самом деле хотел сказать: «Будет чем себя развлечь, пока мы займемся друг другом». Лоуренс засунул блокнот под брючный ремень, взял велосипед, отъехал ярдов на двести к сторожевой башне, поднялся по лестнице на платформу и сел спиной к заходящему солнцу, примостив на коленях блокнот, чтобы свет падал на страницу.
Сперва он не мог собраться с мыслями, потом его отвлекли сполохи на северо-востоке. Он подумал было, что это отблески заката на облаках, но свет шел явно из одного места и к тому же мерцал. Тогда Лоуренс предположил, что это молния, однако свет был недостаточно голубой и резко менялся под воздействием (надо полагать) каких-то могучих событий за горизонтом. Когда солнце скрылось за противоположным краем мира, свет на горизонте Нью-Джерси превратился в ровное сияние, того же цвета, что от фонарика, когда под одеялом смотришь на него через пальцы.
Лоуренс спустился с башни, сел на велосипед и покатил через Сосновую пустошь. Вскоре он выехал на дорогу, которая шла примерно в нужную сторону. Большую часть времени молодой человек вообще ничего не видел, даже дорогу, но часа через два отблески света легли на щебенку под колесами, и ручейки между сосен превратились в горящие трещины.
Дорога свернула не в ту сторону, и Лоуренс поехал напрямик через лес. Теперь было совсем близко, и он различал свет за редким сосняком — черные тощие стволы казались обгорелыми палками. Начался песок, сырой и плотный, а у велосипеда были толстые шины. Один раз пришлось остановиться и перебросить велосипед через колючую проволоку. За сосняком пошел совершенно ровный белый песок с кустиками аммофилы, и тут же путника ослепила низкая ровная стена огня на горизонте размером примерно с полную луну, когда та садится в море. Огонь был такой яркий, что ничего другого Лоуренс уже не видел и несколько раз въезжал в промоины. После этого он старался не смотреть прямо на огонь, тем более что глядеть по сторонам тоже было интересно. На плоской песчаной равнине высились циклопические постройки, грубые творения фараонов, а на обширных пространствах между ними — далеко разнесенные исполинские гномоны триангулированной стали, внутренние скелеты пирамид. Циферблат самых высоких солнечных часов очерчивали круговые рельсы диаметром несколько сот футов: две серебряные дуги бежали по блеклой земле, разрываясь там, где указывала время черная тень башни. Лоуренс проезжал здания поменьше; рядом с ними стояли овальные цистерны. Из клапанов наверху цистерн с шипением выходил пар, но не поднимался вверх, а стекал по стенкам и расползался по земле, кутая солончаковую траву в серебряные бушлаты. Тысяча матросов в белом стояли оцеплением вокруг длинного пламени. Один из них поднял руку и помахал Лоуренсу — остановись, мол. Лоуренс притормозил и уперся ногой в песок. Они с матросом некоторое время друг друга разглядывали, потом Лоуренс, не придумав ничего лучшего, сказал: «Я тоже из ВМФ». Матрос, видимо, принял какое-то решение. Он отсалютовал Лоуренсу и указал на маленькое строение сбоку от пламени.
На фоне зарева строение казалось глухой стеной, однако порой голубая вспышка магнезии выхватывала из темноты его окна, прямоугольные молнии, многократно отраженные в ночи. Лоуренс снова принялся крутить педали и поехал мимо строения, огибая толпу фетровых шляп, тычущих в блокноты солидными авторучками, фотографов с их огромными хромированными красавцами, ряды спящих, укрытых с головой простынями, потного человека с набриолиненными волосами, который мелом писал на черной доске немецкие фамилии. Наконец он объехал здание и почуял горячий запах масла, почувствовал жар на лице и увидел иссушенную, скорченную траву.
6
Проблема разрешимости (нем.).