— Почему тёплый? — не сразу осознал я масштаб бедствия. — У вас же там адсорбционный холодильник имеется, я точно помню!

— Даже два! Было, — грустно протянул он. — Но после того, как безрукие ассистенты угробили первый, со вторым работаю только я, никого больше не подпускаю.

Он посмотрел на меня, погрустнел ещё больше и пояснил:

— К самогонному аппарату тем более никого другого не подпускаем, он же всего один. А у меня и других дел — по самую маковку! В общем, когда выяснилось, что выбор стоит между тем, делаю я лёд или самогон…

Он не успел договорить, когда я прервал его бессовестным ржанием, осознав, что выбора у толпы мужиков на краю света как такового и не было.

— Не грусти, дружище. Месяца через три-четыре, как я вернусь на Первый Порог, отправим к вам специалистов. Будут они на месте и спирт делать, и уксус с ацетоном, и напитки разные настаивать. Обучу там кого-нибудь работе с холодильником, и будете наслаждаться нормальными коктейлями.

«Однако процесс надо будет контролировать!» — сделал я себе заметку. — «А то сопьётся тамошний персонал к чертям. Мало того, что работать перестанут, так их ещё и вырежут при таких делах!»

— Так как мы выкрутимся со здешней электростанцией, Учитель? — вернулся он к прежней теме.

— Да ничего сложного! Помнишь, я сказку про Сайрата Ерката рассказывал, где он с похожей проблемой столкнулся? У начала порогов поставим множество насосов, они поднимут воду на стену ущелья в специальное русло. А в конце порогов вода будет спускаться, крутить верхнебойные колёса и делать электричество. Часть его вернём для работы насосов.

Потери, разумеется, будут чудовищные. Суммарный КПД моих насосов, электродвигателей и генераторов просто удручает. Но нашёл я местечко, где поднимать воду надо всего метра на четыре-пять, а вот спускаться она будет примерно на двадцать. Так что около половины энергии я смогу пускать на другие дела. Если, конечно, мои генераторы переменного тока и трансформаторы не подведут.

— Сталь тут хорошую будем делать, хлорат готовить, поля и огороды поливать! — поделился я планами. — Может, и производство карбида по новой технологии откроем… Там видно будет! Это в начале всегда кажется, что электричества много и не знаешь, куда его девать. А потом всегда ещё и не хватает!

— Это всегда так бывает, Учитель! — грустно поддакнул Маугли. — Но боги благоволят к тем, кто упорно трудится!

* * *

С прошлой главы статы пополнились чёрным порохом, генераторами переменного тока, линиями электропередач и трансформаторами (повышающими и понижающими).

Глава 18

«То, что для одних препятствие, для других — ступенька!»

— Старший, для тебя внеочередное сообщение с голубем пришло! — доложил мне Мартик, дежурный секретарь, неспешно войдя в лабораторию. Нет, любое сообщение, пришедшее не по графику, означает высший приоритет срочности, но… Врываться в мои лаборатории чревато, больно уж опасными экспериментами я иногда занят. Выбором же обращения он подчёркивал, что не просто является служи наместнику, а тоже принадлежит к роду Еркатов, как и я. — Геворг уже его расшифровывает.

Да, времена меняются. Теперь со мной путешествуют три секретаря, сменяющие друг друга круглые сутки. Они читают мою корреспонденцию, шифруют и расшифровывают саму переписку, готовят аналитические справки и тому подобное. А есть ещё личная охрана, есть парочка лаборантов, несколько доверенных слуги. Недавно завёлся даже личный дегустатор. Увы, но только за последний год было три попытки меня отравить.

— Как долго ждать придётся? Минут двадцать? Отлично, я успею закончить. Скажи, чтобы текст принесли в кабинет, и сам туда подходи. И да, чаю закажи и пожевать что-нибудь.

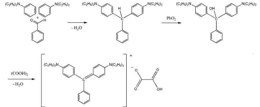
Свободного времени у меня всё меньше, а забот всё прибавляется, поэтому уже отработанные стадии за меня выполнила уже упомянутая парочка лаборантов. Пронитровали бензол и восстановили до анилина. А потом из этилового спирта, серной кислоты и бромида калия получили этилбромид. Высушили его, очистили перегонкой и отложили.

Себе же я оставил промежуточную реакцию, синтез диэтиланилина.

Руса. Расширяя пределы (СИ) - img_4

Сам по себе он мне и даром не нужен, но от него всего один шаг до очень нужного мне вещества. «Впрочем, почему только мне?» — подумал я, переливая слегка желтоватую и жидкость в стеклянную бутылку. «Вечером обработаю бензальдегидом и оксидом свинца и получу бриллиантовый зелёный[1]. Отличная зелёная краска, достаточно стойкая и очень яркая».

Руса. Расширяя пределы (СИ) - img_5

Но главное достоинство этого вещества в другом. Его слабый спиртовой раствор широко известен в оставленном мной будущем под названием «зелёнка». Полезнейшее и не особо дорогое средство наружной антисептики.

Я удовлетворённо улыбнулся. Приятно всё-так приносить пользу людям. А то последнее время я всё чаще занимался политикой, войной и большими финансами. Нет, дело нужное, и избежать этого у меня не получилось бы, но… Душу оно мне не греет. Я люблю учить, люблю прогресс, люблю приносить пользу, пусть и так, по мелочи.

Так, теперь умыться, переодеться и бегом в кабинет, очень уж я проголодался. Да и чаю охота. Воздух на Втором пороге сухой-сухой, пить хочется постоянно.

* * *

[1] Поскольку сюжет не позволяет встроить эту деталь, объясняю в примечаниях, почему Руса так долго не получал «зелёнку», хотя она очень нужна и полезна. Удобный ему способ получения бензальдегида — мягкое окисление толуола. Долгое время ГГ подбирал условия, при которых реакция останавливается именно на бензальдегиде. Но так и не смог ни вспомнить, ни подобрать (нужная реакция протекает при окислении избытком хлористого хромила и гидролизе полученного соединения). Пришлось идти обходным путем: 1) C6H5CH3 + Cl2 = C6H5CH2Cl + HCl 2) C6H5CH2Cl + NaOH = C6H5CH2OH + NaCl 3) C6H5CH2OH + CuO = C6H5CHO + Cu + H2O Этот способ даёт много побочных продуктов, требует очистки после каждой стадии и отличается не очень высоким выходом итогового продукта. Но зато прост и понятен.

* * *

Невольно вспомнился анекдот: «Сообщение из Центра до Штирлица не дошло. Тогда он перечитал его ещё раз!»

Нет, текст я понял сразу, хотя в нём по моему совету для пущей устойчивости шифра ко взлому то тут, то там вставлялись бессмысленные куски и делались грамматические ошибки. Я просто не мог осознать, какой именно реакции на него от меня ожидают.

Оказывается, почти все соседние государства с интересом следили за новым оружием, появлявшимся у Македонского. Карфаген, как один из самых богатых и развитых соседей почти с самого начала скупал все попавшие к пиратам, разбойникам и кочевникам образцы пушек, гранатомётов, пистолетов и дробовиков. Не просто так, разумеется, они всё это приобретали, а с целями изучения и копирования. Скупали они и порох с боеприпасами, используя их для отстрела своих копий наших изделий.

А какое-то время назад военачальники Македонского сумели внедрить своего агента… Нет, не в сам этот «исследовательский центр», но где-то рядом.

Всё было это очень интересно, как и описания усилий пунийцев: оказывается, они тоже делали деревянные пушки и ружья разных калибров, лили бронзовое оружие и собирали его из прокованных железных полос, стянутых стальными обручами. Эти продукты «сумрачного пунийского гения», оказывается, регулярно взрывались при испытаниях, но энтузиазм у исследователей не спадал.