
Пользуясь равенством


Таким образом, абсолютная температура просто пропорциональна объему идеального газа.
Точные измерения температуры требуют от физика всевозможных ухищрений. В довольно широком интервале температур ртутные, спиртовые (для Арктики) и другие термометры градуируются по газовому термометру. Однако и он непригоден при температурах, весьма близких к абсолютному нулю (ниже 0,7 К), когда все газы сжижаются, а также при температурах выше 600°С, когда газы проникают через стекло. Для высоких и очень низких температур пользуются иными принципами измерения температур.
Что же касается практических способов измерения температуры, то их множество. Большое значение имеют приборы, основанные на электрических явлениях. Сейчас важно запомнить лишь одно: при любых измерениях температуры мы должны быть уверены, что измеряемая величина вполне совпадает с тем, что дало бы измерение расширения разреженного газа.
Высокие температуры возникают в печах и горелках. В кондитерских печах температура достигает 220-280°С. Более высокие температуры применяются в металлургии: 900-1000°С дают закалочные печи, 1400-1500°С - кузнечные. В сталеплавильных печах температура достигает 2000°С.
Рекордно высокие печные температуры получают с помощью электрической дуги (около 5000°С). Пламя дуги позволяет "расправиться" с самыми тугоплавкими металлами.
А какова температура пламени газовой горелки? Температура внутреннего голубоватого конуса пламени всего лишь 300°С. Во внешнем конусе температура доходит до 1800°С.
Несравненно более высокие температуры возникают при взрыве атомной бомбы. По косвенным оценкам, температура в центре взрыва достигает многих миллионов градусов.
В самое последнее время предприняты попытки получить такие сверхвысокие температуры в специальных лабораторных установках, изготовляемых у нас и за рубежом. На кратчайшее мгновение удавалось достигнуть температур в несколько миллионов градусов.
Сверхвысокие температуры существуют и в природе, но не на Земле, а в других телах Вселенной. В центрах звезд, в частности Солнца, температура достигает десятков миллионов градусов. Поверхностные же участки звезд имеют значительно более низкую температуру, не превышающую 20 000 градусов. Поверхность Солнца нагрета до 6000 градусов.
Теория идеального газа
Свойства идеального газа, давшего нам определение температуры,- очень просты. При постоянной температуре действует закон Бойля - Мариотта: произведение pV при изменениях объема или давления остается неизменным. При неизменном, давлении сохраняется частное V/Т, как бы ни менялись объем или температура. Эти два закона легко объединить, Ясно,- что выражение pV/T остается тем же как при постоянной температуре, но изменяющихся V и р, так и при постоянном давлении, но изменяющихся V и Т. Выражение pV/T остается постоянным при изменении не только любой пары, но и одновременно всех трех величин - р, V и Г. Закон pV/Т = const, как говорят, определяет уравнение состояния идеального газа.
Идеальный газ выбран в качестве термометра потому, что толь-- ко его свойства связаны с одним лишь движением (но не с взаимодействием) молекул.
Каков же характер связи между движением молекул и температурой? Для ответа на этот вопрос надо найти связь между давлением газа и движением в нем молекул.
В сферическом сосуде радиуса R заключено N молекул газа (рис. 3.1). Проследим за какой-либо молекулой, например той, что движется в данный момент слева направо вдоль хорды длиной l. На столкновения молекул обращать внимание не будем: такие встречи не сказываются на давлении. Долетев до границы сосуда, молекула ударится о стенку и с той же скоростью (удар упругий) понесется уже в другом направлении. В идеале такое путешествие по сосуду могло бы продолжаться вечно. Если v - скорость молекулы, то каждый удар будет происходить через l/vсекунд, т. е. в секунду каждая молекула ударится v/l раз. Непрерывная дробь ударов N молекул сливается в единую силу давления.
По закону Ньютона сила равна изменению импульса в единицу времени. Обозначим изменение импульса при каждом ударе через ?. Это изменение происходит v/l раз в секунду. Значит, вклад в силу со стороны одной молекулы будет

Рис. 3.1
На рис. 3.1 построены векторы импульсов до и после удара, а также вектор приращения импульса ?. Из подобия возникших при построении треугольников следует:

Так как длина хорды не вошла в формулу, то ясно, что молекулы, движущиеся по любой хорде, дают одинаковый вклад в силу. Конечно, изменение импульса при косом ударе будет меньше, но зато удары в этом случае будут чаще. Расчет показал, что оба эффекта в точности компенсируются.
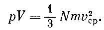
Так как в сфере N молекул, то суммарная сила будет равна

где vcp - средняя скорость молекул.
Давление ? газа, равное силе, деленной на площадь сферы 4?R2, будет равно

где V - объем сферы.
Таким образом,

Это уравнение было впервые выведено Даниилом Бернулли в 1738 г.
Из уравнения состояния идеального газа следовало: ?V = const*T; из выведенного уравнения видим, что pV пропорционально v2cp. Значит,
или
т. е. средняя скорость молекул идеального газа пропорциональна корню квадратному из абсолютной температуры.
Закон Авогадро
Пусть вещество представляет собой смесь различных молекул. Нет ли такой физической величины, характеризующей движение, которая была бы одинакова для всех этих молекул, например для водорода и кислорода, находящихся при одинаковой температуре?
Механика дает ответ на этот вопрос. Можно доказать, что одинаковыми у всех молекул будут средние кинетические энергии поступательного движения mv2ср/2.
Это означает, что при данной температуре средние квадраты скорости молекул обратно пропорциональны массе частиц:

Вернемся теперь к уравнению

Сколько же молекул приходится на 1 см3? Оказывается, в 1 см3 при 0°С и 760 мм рт. ст. находится 2,7*1019 молекул. Это огромное число. Чтобы вы почувствовали, сколь оно велико, приведем такой пример. Положим, что газ удаляется из маленького сосудика объемом 1 см3 с такой скоростью, что в каждую секунду уходит миллион молекул. Нетрудно подсчитать, что сосуд полиостью освободится от газа через миллион лет!