Широкополосный доступ в отечественных школах уже не редкость, так что, вспоминая свои уроки географии, с рулонами карт и глобусом, стоявшим на шкафу на вечном приколе, понимаю, как повезло нынешним школьникам. Впрочем, с такими наглядными пособиями географию на «пять» выучить можно в любом возрасте.

Чего и вам желаю.

Гипотезы:Все круги «цифры»

Сегодня, заходя в любой приличный музыкальный магазин, можно легко потеряться в стойках с компакт-дисками - яркие обложки так и манят покупателя. Кажется, что за совершенной полиграфией скрывается и совершенный звук. Однако, по мнению автора статьи, меломана и аудиофила, художественная ценность содержимого дисков не слишком велика: - К.К.

В самом распространенном цифровом формате записи без сжатия - формате компакт диска CD-DA - используется квантование по частоте (частота следования отсчетов 44,1 кГц) и по амплитуде (разрядность каждого отсчета 16 двоичных разрядов - 65536 возможных уровней). На мой взгляд, применять формулу теоремы Котельникова для расчета полосы воспроизводимых частот формата ИКМ (PCM) в данном случае некорректно: ведь дискретна не только шкала времени, но и амплитуда. В результате возникает так называемый шум квантования, когда результирующая огибающая дискретных точек не совпадает с исходным сигналом. В этом нетрудно убедиться, прослушав один и тот же отрывок записи с одинаковой частотой дискретизации, но с разной разрядностью.

С другой стороны, давно известна инвариантность частота/разрядность дискретизации. Однако расплывчатость критериев и разные подходы к этой теме в профессиональной литературе свидетельствуют о том, что еще не выработаны не только практические рекомендации, но и теория этого вопроса недостаточно изучена: «Существует два подхода в оценке взаимосвязи разрядности и частоты дискретизации. Они напоминают известный физический принцип рычага - во сколько раз выигрываем в силе, во столько раз проигрываем в расстоянии. Различие в этих подходах состоит лишь в разных оценках соотношения длины цифрового слова с частотой дискретизации»[Рекомендую прочитатьэту статью полностью].

Смысл теоремы Котельникова, говоря упрощенно, в том, сколько необходимо отсчетов (точек на временной оси) для восстановления параметров любого сигнала с оговоркой по поводу ограниченности его спектра и длины, то есть значения амплитуды непосредственно в формуле не участвуют. Когда же мы оцифровываем любой звук, то у нас дискретна не только ось времени, но и амплитуда сигнала. Больше того, она еще и ограничена разрядностью оцифровки не только сверху, но и снизу. При записи это необходимо учитывать, нормируя амплитуду для получения сопоставимых с оригиналом записи результатов. Один из способов нормирования амплитуды - использование отношения динамического диапазона возможного цифрового сигнала (выраженного в разрядности) к разрядности квантования (дискретизации).

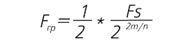
А что, если учесть и потери из-за квантования по амплитуде и компенсировать их ростом частоты?

Я предлагаю в качестве критерия оценки качества PCM[PCM (ИКМ, импульсно-кодовая модуляция)]-формата некую «граничную» частоту, которая вычисляется по формуле:

Журнал «Компьютерра» №43 от 22 ноября 2005 года - pic_67.jpg

Fгр - максимально возможная частота, которую возможно восстановить без

потерь, Гц;

Fs - частота дискретизации, Гц (у CD, соответственно 44100 Гц);

m - максимальная разрядность динамического диапазона возможного сигнала (т.е. такая разрядность, которая бы на слух обеспечила «оригинальное» качество, обычно от 8 до 20 бит);

n - разрядность дискретизации (фактическая частота дискретизации, у CD - 16 бит).

В предлагаемой формуле учтен и рост шумов квантования, о которых я говорил выше, в соответствии с аналитическими материалами компании AnalogDevice для PCM-формата[К сожалению, только на английском, но статья интересна не толькодля специалистов] для случая, если динамический диапазон (разрядность) возможного сигнала превышает разрядность дискретизации (иначе этот коэффициент равен 1).

Анализ показывает, что если разрядность дискретизации по амплитуде меньше разрядности динамического диапазона оцифровываемого сигнала (n‹m), то по формуле можно вычислить необходимую частоту дискретизации для восстановления «оригинального» качества. Например, для получения 20-битного (это соответствует 120 дБ) динамического диапазона в тракте разрядностью 16 бит частоту надо «разогнать» в 420-16=256 раз).

Для целей анализа уже записанных «в цифре» сигналов практически применим только вариант m‹=n (в этом случае значение 4(m-n) мы принимаем равным единице), тогда формула примет вид:

Журнал «Компьютерра» №43 от 22 ноября 2005 года - pic_68.jpg

С другой стороны, если разрядность дискретизации по амплитуде много больше разрядности динамического диапазона (n››m), формула сводится к формуле теоремы Котельникова: Fгр=Fs/2, что свидетельствует о ее корректности в области соответствия граничным условиям.

Применяя предлагаемую формулу для оценки PCM форматов, как используемых в настоящее время, так и перспективных, можно свести результаты в таблицу, где рассчитана граничная частота (в килогерцах) для трех разных уровней динамического диапазона возможного сигнала:

1. 120 дБ - максимальный диапазон человеческого слуха[Здесь надо различать динамический диапазон и максимальный уровень звукового давления (140 дБ). Взят фоновый шум -20 дБ,получилсяДД=140-20=120 дБ].

2. 108 дБ - максимальный диапазон возможного музыкального сигнала. В качестве примера можно привести Торжественную увертюру «1812 год» П. И. Чайковского с колоколами и стрельбой изпушек.

3. 96 дБ - максимальный диапазон возможного музыкального сигнала, за исключением единичных случаев из многих тысяч.

Анализ на основании этой формулы показывает, что самый распространенный на земном шаре цифровой формат CD-DA (16 бит/44,1 кГц) при заявленном (в стандарте формата Red Book) динамическом диапазоне в 96 дБ имеет «граничную» частоту всего 5,51 кГц! Естественно, процесс «гладкий» и надо отчетливо понимать, что это некая теоретическая граничная частота, поскольку в конкретной записи с индивидуальным сочетанием динамического диапазона со спектральной насыщенностью по частотам результат будет различен и зачастую вполне приемлем. Эта частота Fгр. скорее обозначает контуры максимально жестких требований к параметрам цифрового формата.

Звукорежиссеры, по разным причинам, при создании CD дисков ограничивают динамический диапазон уровнем примерно в 60 дБ, но даже при этом граничная частота, посчитанная по формуле, составляет всего примерно 10 кГц, что для современной популярной музыки может и не критично, но классика в оркестровом исполнении звучит уже неестественно.

Формат DVD-A выглядит намного более предпочтительнее, особенно на частоте дискретизации 192 кГц. Тем не менее надо помнить о том, что реально применяемые дельта-сигма АЦП в современных DVD-A-проигрывателях не обеспечивают истинной 24-битной разрядности ни по монотонности аналогово-цифрового преобразования, ни по уровню шумов. Достаточно посмотреть THD+N: для истинно 24-битного должно быть ‹-144 дБ [24*6].

Рассчитанная в соответствии с предлагаемой формулой граничная частота показывает, как должен быть ограничен спектр сигнала при записи/воспроизведении. Это аналогично имеющимся ограничениям теоремы Котельникова. Может, пренебрежение этим обстоятельством и является одной из причин, гм, «цифрового» звука?